| ポケモンのゲームを形作る内部システムを説明します。 やや複雑な数式が登場しますが、内容としてはまだまだ基本的なことです。 ※ はじめに
0. なぜこんな高度な理論を、 この段階で知る必要があるのか ポケモンの育成・対戦は、数学を含む高度な理論から成り立っています。このページにある内容を、少なくとも「こんなものがあるのか」というくらいは知っておかなければ、この先説明する理論を理解することはできないのです。 もちろん、今は計算式を必死に覚えたりする必要はありません。わかる頃になったら、もう一度このページに戻ってくればいいのです。このことは、このページに限った話ではありません。このサイトは、全くの初心者にとっては少し難しいかもしれません。何度か読むことになっても、それで理解できるようになるのならいいでしょう。 |
|||||||
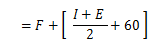
1. 能力値計算式 ポケモンの能力値の計算式は、HPとその他の能力とで違います。まず、HPの計算式は以下のようになります。 HP以外の計算式は以下のようになります。 ここで、L はレベル、F は種族値、I は個体値、E は努力レベル、N は性格による補正の定数です。以下順に解説します。 |
|||||||
2. せいかく(性格) ポケモンは1体ごとにそれぞれ違う性格を持っています。性格は全部で25種類あります。性格はポフィンなどの味の好みに関係しますが、実は能力値にも関係しています。たとえば、「いじっぱり」な性格のポケモンは攻撃が上がりやすく、特攻が上がりにくいです。HPは性格に関係ありません。「上がりやすい」とは能力値の数字が1.1倍になることを表し、「上がりにくい」とは同じく0.9倍になることを表します。上の計算式のN にあたります。能力値に影響しない性格もあります。以下に、ポケモンの性格と能力値への影響をまとめた表を載せます。 本格的にポケモンを育成する場合、この1.1倍になる効果は見逃せません。0.9倍になってしまう能力もあるのですが、そのポケモンにとってあまり必要でない能力にすればいいのです。いずれ説明しますが、ポケモンは基本的に短所を補うより長所を伸ばすほうが活躍しやすいです。 性格は25種類もあるので、最適な性格のポケモンを選ぶのは一見大変ですが、ある程度望みの性格を狙う方法があります。少しでも能力の高いポケモンを狙うことを「厳選」と呼びます。詳しくは次回の「ポケモンの厳選と育成」にて説明します。 |
|||||||
3. 「種族値」 ポケモンの能力値には、ポケモンの種類ごとに傾向があります。たとえば、ハピナスはHPが非常に高く、マルマインは素早さが非常に高いといった具合です。このような傾向が存在するのは、ポケモンの種類ごとに「種族値」と呼ばれる隠しステータスが設定されているからです。 種族値は、上の能力値計算式のF にあたります。種族値が高いほど実数値(実際の能力値)が高くなります。レベル50の時は種族値1につき実数値で1の違いになります。レベルが高くなるほど、この差は大きくなります。 具体的にどういう数値をとるのかというと、進化前のポケモンを除いた平均値では、HPが70~80程度、ほかの能力が80~90程度となっています(管理人の主観)。あるポケモンの種族値がHPで100以上、ほかの能力で110以上あると、その能力が高いポケモンであるといえます。 種族値はポケモンの種類ごとに決まっていて、変化することはありません。強いポケモンと弱いポケモンの違いは種族値によるところが大きいです。種族値は、ゲーム中ではその値を知ることはできませんので、攻略サイトで調べる必要があります。このサイトでもある程度は掲載していくつもりです。 |
|||||||
4. 「個体値」 同じ種類のポケモンでも、能力値が少しずつ違っていたりします。これは、ポケモン1体1体に「個体値」と呼ばれる隠しステータスが設定されているからです。個体値はポケモンの種類や能力に関わらず、すべてのポケモン・能力で0~31の値をとります。個体値が31であることをVといい、Vを2つ持つことを2Vといったりします。また、個体値が30であることをUといい、0であることを逆Vといいます。 個体値は、上の能力値計算式のI にあたります。個体値が高いほど実数値が高くなります。レベル50の時は個体値1につき実数値で0.5の違いになります。つまり、個体値が0であるか31であるかで15.5の違いが出てきます。レベルが高くなるほど、この差は大きくなります。 個体値は、そのポケモンに出会った時・入手した時にランダムに決まり、その後変化することはありません。個体値の組み合わせは 326=1,073,741,824 通りもあり、偶然に頼っていてはすべての能力の個体値が高いポケモンを入手することはできません。しかし、こちらも性格と同じようにある程度望みの個体値を狙う方法があります。これも次回。 ちなみに、トレーナーメモの一番下の行にある記述を「個性」といい、最も個体値が高い能力とその個体値のおよその値を表しています。個性には30種類あり、その意味は下の表のとおりです。 最も個体値が高い能力の個体値が同じものが複数あるときも、個性は1つなので、どれか1つが選ばれます。たとえば、個性が「ひるねを よくする」であるポケモンのHPがVでも、ほかの能力もVである可能性があります。 |
|||||||
5. 「努力値」 たとえば、卵から孵ったばかりの同じポケモン2匹を、一方はバトルに出して育て、もう一方は「ふしぎなアメ」というレベルを上げる道具を使って育てるとします。すると、同じポケモン・同じレベルであっても、バトルに出して育てたポケモンのほうが能力値が高くなります。これは、個体値の違いだけではありません。バトルに出して経験値を得ると、同時に「努力値」と呼ばれる隠しステータスを得るのです。努力値はゲーム中では「きそポイント」と呼ばれ登場しますが、数値を直接確認することはできません。 努力値の計算はほかの隠しステータスと違い少し特殊で、4で割ったものの整数部分が能力値の計算に使われます。これが上の能力値計算式に出てきた「努力レベル」です。努力値と努力レベルには下の式の関係があります。 努力値は、上の計算式のe にあたり、努力レベルは、能力値計算式のE にあたります。努力レベルが高いほど実数値が高くなります。レベル50の時は努力レベル1につき実数値で0.5の違いになります。つまり、努力値が0であるか255であるかで31.5の違いが出てきます。レベルが高くなるほど、この差は大きくなります。 努力値はバトルで経験値を得たときに、相手のポケモンごとに決まった能力に決まった値だけ加算されます。また、タウリンなどの道具を使うとポケモンの能力値が上昇しますが、これは努力値が増えているのです。努力値は野生のポケモンや卵から孵ったばかりのポケモンははじめはすべて0で、その後自由に増やすことができます。ただし、努力値には以下の制約があります。
|
|||||||
6. ステータスまとめ ステータスの計算には上のような式を使うのですが、見ての通りけっこう複雑です。しかし、レベル50・性格補正なしを前提とすると、かなり簡単な形にできます。 この簡単な計算式を使って、ためしに管理人の好きなポケモンであるパチリスの素早さを計算してみましょう。素早さの計算式には、上の「HP以外」の計算式を使います。パチリスの素早さの種族値は95なので、F に95を代入すると、素早さの最低値と最大値は下のようになります。 ここで、ポケモンによって変わる部分は、パチリスの素早さの種族値である「95」の部分だけであることが分かります。すなわち、以下のように暗記できるほど簡単な数式になります。 HPについても同様に、以下のようになります。 この式を覚えておくだけでとても便利になります。 |
|||||||
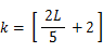
7. ダメージ計算式 攻撃技が相手に与えるダメージは、以下の式で計算されます。 ここで、k とはレベルによって定まる定数で、以下の式で表されます。 A は攻撃側の攻撃力、P は攻撃する技の威力、B は防御側の防御力、L は攻撃側のレベルです。物理技なら攻撃と防御、特殊技なら特攻と特防の値を使います。 また、R はダメージの乱数です。乱数とは、プログラムによりその都度ランダムで決定される数値のことで、ダメージ計算式においては0.85から1の間で0.01刻みに変化する16通りの数値です。同じポケモンの同じ技で同じ相手に何回か攻撃していると、ダメージが少しずつ違っているのがわかりますが、それは乱数があるためです。乱数によって、ダメージは最大で15%も少なくなってしまうのです。 |
|||||||
8. その他 命中率や回避率が上がったり下がったりした時の技の命中率の変化は、以下の式で表されます。 Ev は相手の回避率のランクの上昇分です。つまり、相手の回避率が最大(+6)まで上がっていると、命中率は通常の3分の1になってしまいます。 |